資料時間:1140101~1141104,資料筆數:168筆(交易期間最後一筆1140906)
虎尾透天厝市場
最低單價為大和(19.16萬)最高單價為臻品(39.99萬)


大樓(含華廈)市場
最低單價:禾楓君悅-農博綻(23.99萬),最高單價:晶硯麗禧(39.58萬)


市場統計:透天厝 vs 大樓(含華廈)
- 分析期間:2025/1/6 ~ 2025/9/6
- 總成交:168筆:透天厝:17個建案,95筆(56.5%) 大樓/華廈:14個建案,73筆(43.5%)
價格排名
- 透天厝單價區間:19.16 ~ 39.99萬/坪
- 大樓(含華廈)單價區間:22.83 ~ 39.58萬/坪
💡 重點發現
- 透天厝市場:平均單價31.65萬/坪,平均總價1,858萬,平均坪數57.74坪
- 住宅大樓:平均單價28.85萬/坪,平均總價915萬,平均坪數33.12坪
- 最熱銷建案:禾楓君悅-高鐵綻8期(透天厝28筆+住宅大樓23筆)
- 價格親民選擇:透天厝最低888萬起(大和),住宅大樓最低420萬起
虎尾預售屋成交趨勢


🔴 透天厝市場
- 透天厝_交易日期與單價趨勢
- 📈 最高價:39.99萬/坪(臻品,01/15)
- 📉 最低價:19.16萬/坪(大和,02/08)
透天厝_月成交筆數趨勢
📊 2025/01最熱:24筆
📉 2025/09最冷:1筆
趨勢:從高峰逐漸下降


🔵 住宅大樓(含華廈)市場
- 住宅大樓_交易日期與單價趨勢
- 📈 最高價:39.58萬/坪(晶硯麗禧,05/14)
- 📉 最低價:22.83萬/坪(居心地建築中溪七期,02/13)
住宅大樓_月成交筆數趨勢
📊 2025/02最熱:14筆
📉 2025/09最冷:1筆
波動較大,但整體下降趨勢

成交量最多前2名建案分析
【透天厝市場】
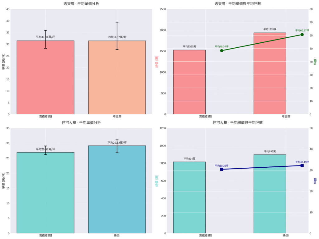
第1名:禾楓君悅-高鐵綻8期(28筆,29.5%)
━━━━━━━━━━━━━━━━━━━━━━━━━━━━━━━━━━━━━━━━━
✓ 單價:28.20-35.91萬/坪(均31.41萬/坪)
✓ 總價:1,290-1,980萬(均1,525萬)
✓ 坪數:42.64-59.66坪(均48.34坪)
✓ 格局:3-5房多種選擇
✓ 地點:高鐵特區核心
✓ 樓高:3層樓
第2名:庭宇建設-峰雲座(26筆,27.4%)
━━━━━━━━━━━━━━━━━━━━━━━━━━━━━━━━━━━━━━━━━
✓ 單價:27.63-39.37萬/坪(均31.37萬/坪)
✓ 總價:1,530-2,980萬(均1,935萬)
✓ 坪數:54.86-75.90坪(均60.57坪)
✓ 格局:統一4房2廳5衛
✓ 地點:虎尾鎮虎興南路
✓ 樓高:3層樓
【住宅大樓市場】
第1名:禾楓君悅-高鐵綻8期(23筆,31.5%)
━━━━━━━━━━━━━━━━━━━━━━━━━━━━━━━━━━━━━━━━━
✓ 單價:26.14-29.02萬/坪(均26.92萬/坪)
✓ 總價:420-1,178萬(均814萬)
✓ 坪數:15.64-44.08坪(均30.39坪)
✓ 格局:1-3房多種選擇
✓ 地點:高鐵特區核心
✓ 樓高:12層
第2名:樂邑I(14筆,19.2%)
━━━━━━━━━━━━━━━━━━━━━━━━━━━━━━━━━━━━━━━━━
✓ 單價:26.96-31.07萬/坪(均29.12萬/坪)
✓ 總價:802-1,005萬(均897萬)
✓ 坪數:29.92-34.16坪(均32.19坪)
✓ 格局:統一2房2廳2衛
✓ 地點:虎尾鎮五間段
✓ 樓高:10層
成交王共同特徵
【透天厝市場喜好】
━━━━━━━━━━━━━━━━━━━━━━━━━━━━━━━━━━━━━━━━━
✓ 價格:中等價位(31萬/坪),非最便宜但CP值高
✓ 地點:高鐵特區周邊,交通便利+增值潛力
✓ 坪數:45-60坪,適合3-5人家庭
✓ 格局:3-5房,實用性高
【住宅大樓市場喜好】
━━━━━━━━━━━━━━━━━━━━━━━━━━━━━━━━━━━━━━━━━
✓ 總價:千萬以內,首購可負擔
✓ 單價:26-29萬/坪,相對親民
✓ 坪數:30坪左右,標準2-3房
✓ 地點:高鐵特區或虎科大周邊


單價最低 TOP 2(為何成交不佳?)
透天厝
- 大和:19.16萬/坪(最低),但僅1筆成交(第16名)
- 禾楓君悅-高鐵15期:21.44萬/坪,僅2筆成交(第11名)
住宅大樓
- 禾楓君悅-農博綻:23.99萬/坪(最低),但僅1筆成交(第13名)
- 禾楓君悅-菁英會館3期:24.31萬/坪,僅1筆成交(第12名)
🏆 價格不是唯一,地點與產品策略才是關鍵
- 地點為王:高鐵特區是最大賣點,購屋者願意付溢價
- 總價比單價重要:透天族看地段,首購族看總價


掌握瞭解市場,制定策略,讓委託出售房地產更順利~洽詢房地產阿宥0906-707-964

📚 延伸閱讀:你可能也有興趣
- 不懂樂器也能免費做出 AI 歌曲和 MV?2026 年 Google AI Pro 用戶必知的 Producer.ai 完整教學
- iPhone 免費跑 Google Gemma-4 完整教學:最強開源 AI 完全離線、支援中文
- 2026年4月AI震撼:巨頭重塑、AI叛逃與支付革命
- 2025年4月AI大爆發:OpenAI o3、Gemini 2.5 Pro、Apple Intelligence 日文版震撼登場!
- 【2026年04月05日】雲林縣土地市場分析|剛性需求支撐
解壓縮 → 拖入 Claude Code → 輸入序號,5 分鐘完成安裝
✅ 套件內含功能:
🧠 雙層記憶系統(跨對話長期記憶,越用越懂你)
🔄 智慧規則載入(自動選最相關規則,省最高 89% Token)
📊 品質評估閘門(文章/程式碼送出前自動評分把關)
⚡ 自動學習任務框架(自動記錯誤→優化流程→持續進化)
🛠️ 11 個內建技能(知識餵養・網頁爬取・每日收尾等)
☁️ Google Drive 雲端同步引導
🔒 單一裝置授權,資料不外傳
原價 NT$1,288
NT$600
前 100 名限定優惠價格
每組序號第一裝置限一用・不可轉讓或分享

.png)